Quantum spin squeezing and cosmic relics

Can quantum spin squeezing in NMR systems help the search for new particles?

Project image



We consider an ensemble of \(N\) identical two-level systems (spins) coupled to a single-mode cavity field. The system is described by the Tavis-Cummings Hamiltonian (assuming the rotating-wave approximation and \(\hbar = 1\)): \begin{equation} H = \omega_c a^\dagger a + \omega_s J_z + g \left( a^\dagger J_- + a J_+ \right), \end{equation} where \(\omega_c\) is the cavity mode frequency, \(\omega_s\) the spin transition frequency, \(a\) \((a^\dagger)\) is the annihilation (creation) operator for the cavity mode, and \(J_\pm = \sum_{i=1}^N \sigma_\pm^{(i)}\) are collective spin raising and lowering operators. The collective operators obey angular momentum algebra with total spin \(J = N/2\). In the dispersive regime, the detuning \begin{equation} \Delta = \omega_c - \omega_s \end{equation} is large compared to the collective coupling, i.e., \(|\Delta| \gg g \sqrt{N}\). In this limit, real energy exchange between the spins and the cavity is strongly suppressed, but virtual photon exchange leads to effective spin–spin interactions. The effective Hamiltonian contains a non-linear term, the so-called one-axis twisting (OAT) Hamiltonian, first proposed by Kitagawa and Ueda, which is known to generate spin-squeezed states.

Standard squeezing protocol in the \(yz\)-plane

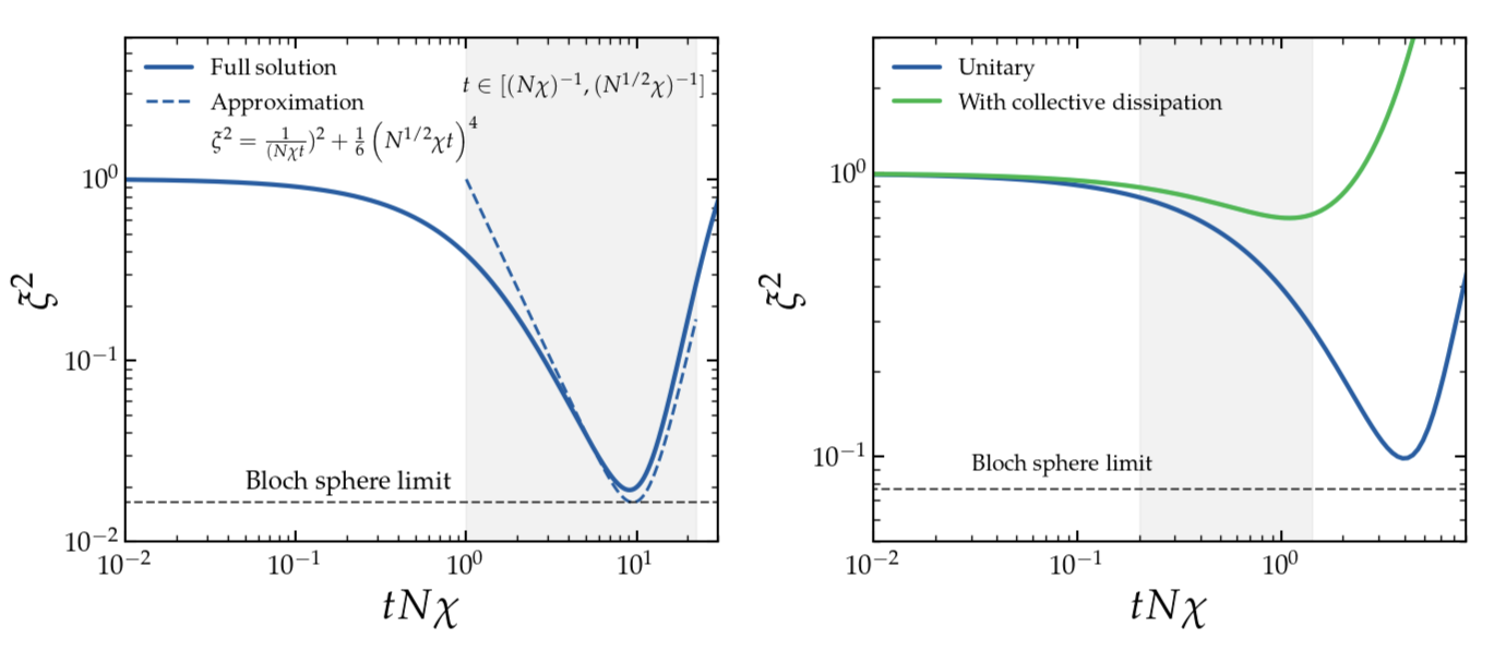
The conventional OAT squeezing protocol, used in most cavity, circuit, and atomic experiments (e.g. left panel setup schematic). 1

By initialising all spins along \(x\) (equatorial coherent spin state, CSS) with a \(\pi/2\) pulse, the system than evolves under the OAT Hamiltonian \begin{equation} H_{\text{OAT}} = \hbar \chi J_z^2. \end{equation}

For short times \(\mu = \chi t N \ll 1\), the squeezing parameter scales as \(\xi^2 \propto N^{-2/3}\), with the squeezed quadrature rotating in the \(yz\)-plane as \(\theta \approx (N \chi t)^{-1}\). This protocol produces squeezing perpendicular to the mean spin in the \(yz\)-plane

Equatorial squeezing protocol in the \(xy\)-plane

A protocol that generates OAT squeezing directly in the equatorial \(xy\)-plane while keeping the mean spin along the \(z\)-direction, and avoiding transverse decoherence that plagues standard protocols in nuclear-spin systems has been recently proposed (e.g. right panel setup schematic). 2

In the dispersive, far-detuned regime, one finds the effective Hamiltonian \begin{equation} H^x_{\text{OAT}} = \hbar\chi J_x^2.
\end{equation} Evolution under \(H^x_{\text{OAT}}\) directly squeezes fluctuations in the \(xy\)-plane (rotating frame) while the mean spin remains along \(z\).

Dissipation and new physics

Under collective (coherent) effects of cosmic neutrinos or axion-like dark matter, the variance grows over time, producing an anti-squeezing effect. This behavior could leave a detectable imprint on the system, provided that all other dissipative channels are sufficiently suppressed. These include \(T_1\) and \(T_2\) relaxation, collective decays (radiation damping) arising from circuit back-action and finite polarisation.

Below are two visualizations for the standard \(yz\) protocol, one for the unitary evolution generated by the squeezing Hamiltonian, and one illustrating the modification induced by cosmic neutrinos.

Project image
Project image

References

  1. Galanis, Hosten, Arvanitaki, Dimopoulos, Toward 48 dB Spin Squeezing and 96 dB Signal Magnification for Cosmic Relic Searches with Nuclear Spins, 2508.20520 

  2. Boyers, Goldstein, Sushkov, Spin Squeezing of Macroscopic Nuclear Spin Ensembles, 2502.14103